为什么人的血液是红色的?我们可能都知道这是因为血液中有红细胞,为人体各部分运送氧气。具体而言,红细胞具有血红蛋白,血红蛋白中含有铁元素,因而呈现红色,并且氧元素的携带与否还会影响血红蛋白红色的深浅,含氧血红蛋白和脱氧血红蛋白对红色光的吸收能力差异正是皮肤血氧仪的设计原理。
以上就是我之前对于血液颜色的了解,但是近期看到一本书,让我对血液颜色的自然奥秘深感震撼。书名叫《摸着自己学人体》,作者是一名日本的外科医生,名叫 山本健人,全书写得简洁而通俗有趣,让人学到很多冷知识以及司空见惯的日常现象背后的原因,比如临床医生为什么穿着蓝色的手术服(蓝色是红色的互补色,蓝色衣服有助于缓解医生手术时长时间观察红色的血液造成的视觉疲劳)。

而关于血液为什么是红色的这个问题背后蕴含的自然奥秘,正是这本书最后一章最后一小节的核心,“令人屏气凝神的自然真谛”,小节名称起得真好,大自然的很多现象确实让人屏气凝神、深感震撼。
血红蛋白是由血红素和珠蛋白构成,每个血红蛋白分子是由1分子的珠蛋白和4分子的亚铁血红素组成。血红素是在“卟啉”框架中嵌入铁离子形成的结构,是一种含铁络合物。金属离子和其他物质形成的络合物通常会表现出特有的颜色。动物血液的颜色除了红色以外,还有蓝色、绿色,背后的原因都是血色蛋白的存在,而血色蛋白的颜色之所以不同,正是因为其中嵌入的金属离子不同,而这些血色蛋白的功能类似,都是运输氧气。我们通常可以看到的动物血液,比如哺乳类、鸟类、两栖类、鱼类,血液多为红色。
| 呼吸色素名称 | 内嵌金属元素 | 相关动物 | 化学结构 |
|---|---|---|---|
| 血红蛋白-血红素 | 铁(Fe) | 脊椎动物 | ![]() |
| 血蓝蛋白-血蓝素 | 铜(Cu) | 蜘蛛等节肢动物 | ![]() |
| 血绿蛋白-血绿素 | 铁(Fe) | 绿血虫等 | ![]() |
| 其他 | Mg, Co | 扁螅虫等 | ![]() |
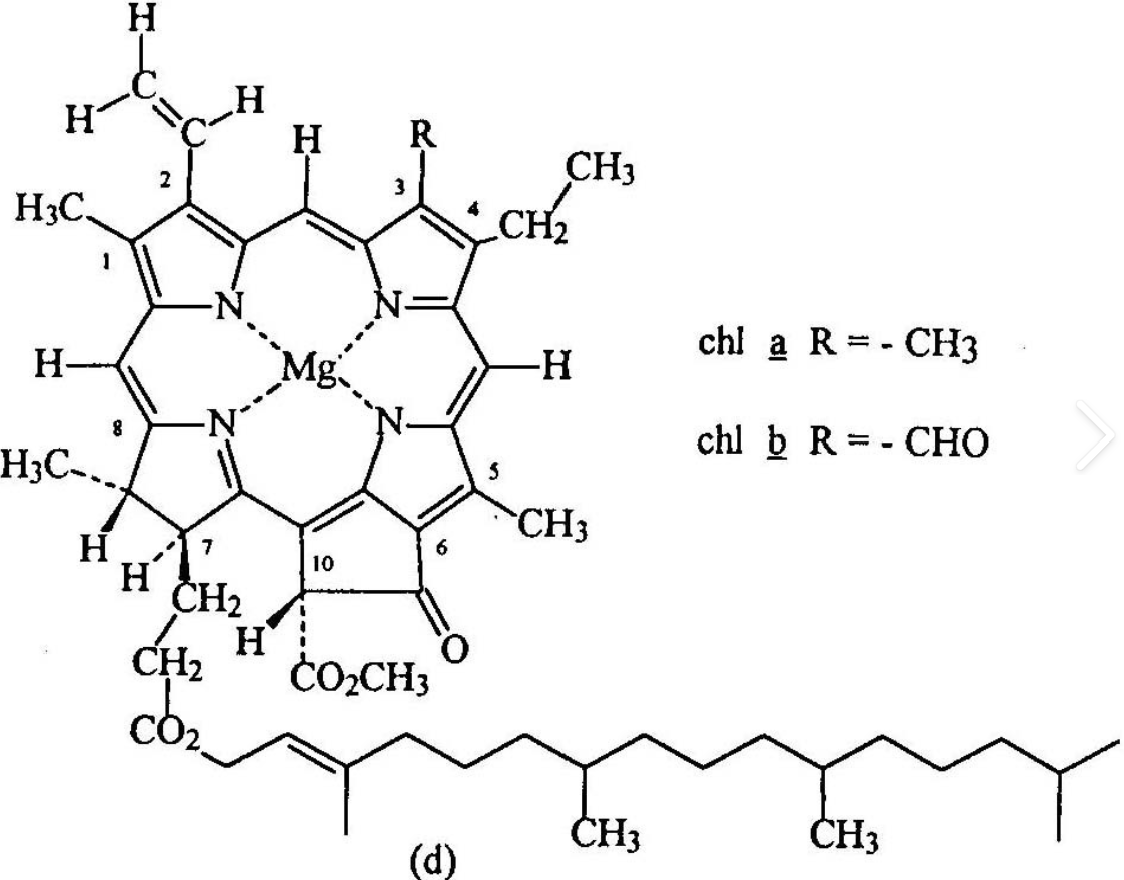
| 植物-叶绿素 | Mg | ![]() |
然而,某些软体动物、节肢动物(比如蜘蛛、甲壳虫)的血液中含有的是血蓝蛋白,其中包含血蓝素,血蓝素卟啉框架中内嵌的金属离子是铜离子。此外,无脊椎动物如绿血虫的血液中包含血绿蛋白,卟啉框架中内嵌的也是铁离子,会因为浓度而变色(浓度浅为绿色,浓度深则为红色)。也有一些动物的血液卟啉框架中嵌入的金属元素是钴,血液呈现淡蓝色。扁螅虫的血液更为神奇,由于内含两种血红蛋白,分别内嵌铁元素、镁元素,因此血液可以在红色和绿色之间切换。
血红素、血蓝素、血绿素这些统称为呼吸色素,用于为动物提供氧气的全身运送。而大自然的神奇之处含不止于此,提到呼吸,很容易联想起植物的呼吸作用和光合作用,不同于动物,植物似乎没有明确的血液概念,但是植物一般都是绿色的,这是因为叶绿素的存在,叶绿色可以在光的作用下将水分解成氧气和活性氢。让人惊奇的是,叶绿素的化学结构跟动物的呼吸色素相同,也是卟啉框架中内嵌金属元素,而这种金属元素从上面动物血液颜色也可以猜出来,那就是镁元素(Mg)。
引用山本健人的话,“植物利用叶绿素吸收光能,进而产生氧气,这就是光合作用。而与叶绿素构造相同的血红素则在动物体内肩负着运输氧气的重任。思考生命演化的历程,不禁感叹自然法则是何等精妙。”
大自然的真谛在植物和动物的统一中得到展现,真是太神奇了。
参考资料:




